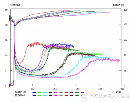
一、各种润滑剂对PVC塑化快慢的影响对比


由上图可以看出硬脂酸钙塑化最快,单甘脂次之,60再次之,再次是硬脂酸铅、氧化聚乙烯蜡,硬脂酸,PE蜡,石蜡塑化最慢。增塑剂环氧大豆油对于改善熔体流动性的作用比较明显。
润滑剂一般同时具有内润滑跟外润滑的特性,而不能绝对来说具有单一性能。从使用效果来说,极性越大,跟PVC相容性越好,增加PVC分子间流动性效果越明显,内润滑性占主导,相反,非极性越突出,外润滑性占主导。
实际应用中,常用润滑剂硬脂酸钙、单甘脂、PETS、60、16等的内润滑性比较突出;PE蜡、石蜡、74等的外润滑性比较突出。硬脂酸、316云博电子氧化聚乙烯蜡,内外润滑性均沾,316云博电子脱模性比较好。
二、润滑剂为什么会析出?
1、内润滑多了,流动性很好,塑化时间变短,但是多余的内润滑会转变成外润滑效果,造成析出,例如硬脂酸、硬脂酸钙造成的析出及结垢问题;
2、外润滑多了,塑化变差,变慢,因为跟PVC相容性差,加多后会造成严重析出;
3、润滑剂中的小分子物质影响,举个很经典的例子,单甘脂,本身单甘脂是一种很好的内润滑剂,但是由于厂家生产过程中为降低成本,添加多量的甘油,造成单甘脂中含有很多甘油成分,甘油分子量低,很容易在PVC加工过程中的析出,实际好的单甘脂添加量正确,是不会造成析出的,单甘脂还是薄膜材料中的防雾剂、液滴剂。
当然,内外润滑也不能太少,讲求内外润滑平衡。内润滑太少,流动性不好,塑化时间延长,扭矩大。外润滑太少,流体发粘,造成糊料或者光泽度不够等现象。
三、润滑剂的协同应用
润滑剂熔点不同,内外润滑效果不同,跟PVC相容性不同。因此一个完美的PVC配方中往往需要多种润滑剂配合使用,以达到理想的效果。
熔点低的润滑剂初期效果较好,这类润滑剂有石蜡、硬脂酸丁酯、硬脂醇、多元醇酯类、硬脂酸等。
熔点适中的润滑剂,熔点范围大约100-125度,作为中期润滑,这类润滑剂有硬脂酸铅、硬脂酸镉、PE蜡、OPE蜡等。
熔点高的润滑剂一般作为后期润滑使用,这类润滑剂有硬脂酸钙、硬脂酸钡、316等。
配方中单独使用硬脂酸钙,可加速塑化,提高熔体粘度,增大转矩,并具有一定脱模效果,而单独使用石蜡,表现出延迟塑化,降低转矩,无脱模作用.将硬脂酸钙和石蜡(聚乙烯蜡)按一定比例混合使用时,表现出了良好的效果,物料转矩值可降低很多,这是由于石蜡渗入硬脂酸钙分子间,强化了润滑作用,表现出很强的协同效果。相同作用的还有硬脂酸与石蜡。
在实际生产中我们最常见到的组合是60+74,16+74/70s,60+316+PE蜡,硬脂酸+硬脂酸钙+石蜡+PE蜡,硬脂酸+PE蜡,硬脂酸+石蜡,60+316+石蜡+PE蜡+硬脂酸钙等
在PVC配方中使用多种润滑剂,互相渗透,弥补温差,不仅可以减少润滑剂的使用总量,还能使PVC配方料的加工范围变宽,提高PVC熔体结构的均匀性,提高材料的力学性能和外观质量,保证物料挤出过程的润滑平衡。
四、润滑剂的稳定作用和协同性
部分润滑剂如脂肪酸皂类,本身具有热稳定作用,润滑剂添加后降低了加工时的物料温度,所以对热稳定具有良好的作用,如白色制品硬脂酸加入后明显比不加颜色更白。单甘脂、季戊四醇酯等具有螯合作用,减少了PVC的催化分解。
铅盐稳定剂,极性强的润滑剂与PVC相容性更好。有机锡本身具有一定的增塑作用,物料塑化较快,注意协同配合塑化慢一些的润滑剂。稀土稳定剂本身与润滑剂协同作用较好,能促进物料熔融塑化。
PVC制品配方的关键就在于润滑剂,也是配方中最难的部分,软硬度的调整只需要调整增塑剂用量即可,稳定剂的用量基本是一个定值,唯独的变量就是润滑剂,使用对了,产品力学性能好,表面关泽度强,连续生产时间长。配合不好,大了挤不出正常产品,小了说产品力学性能变差,制品发黄,蝴蝶斑,波浪纹、鱼鳞纹,蝴蝶斑等,因此润滑剂的作用不可小觑。
文章标题:PVC制品调好配方的关键
本文地址:/news/505.html
本文来源:云博电子